◻️141. Linked List Cycle (easy)
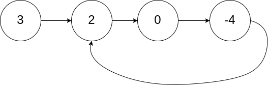
Input: head = [3,2,0,-4], pos = 1
Output: true
Explanation: There is a cycle in the linked list, where the tail connects to the 1st node (0-indexed).Input: head = [1,2], pos = 0
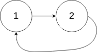
Output: true
Explanation: There is a cycle in the linked list, where the tail connects to the 0th node.Input: head = [1], pos = -1
Output: false
Explanation: There is no cycle in the linked list.Solutions
Normal - Fast ptr & Slow ptr


Last updated


